
电容测微仪的优点
稳定性好
结构简单,适应性强
动态响应好
非接触测量
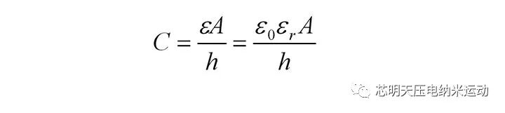
电容式传感器工作原理
芯明天电容测微仪
模块组合
E09.CAP传感信号采集模块
电容测头
技术参数
|
型号 |
E09.CAP100 |
E09.CAP200 |
E09.CAP500 |
|
量程 |
0~100μm |
0~200μm |
0~500μm |
|
静态分辨率 |
1.25nm |
2.5nm |
5nm |
|
带宽 |
2kHz(-3dB) |
2kHz(-3dB) |
2kHz(-3dB) |
|
线性度 |
0.05% |
0.05% |
0.05% |
|
重复度 |
0.0025% |
0.0025% |
0.0025% |
注:更多参数详情及价格,欢迎咨询芯明天区域销售经理。
典型应用
结语


