
在无预紧力及恒定负载条件下,F=衡量
(1.1)
(1.2)

图1.1 在恒定负载条件下位移和电压曲线
在无预载力低刚度负载条件下
图1.2 无预载力低刚度负载条件下位移与电压曲线
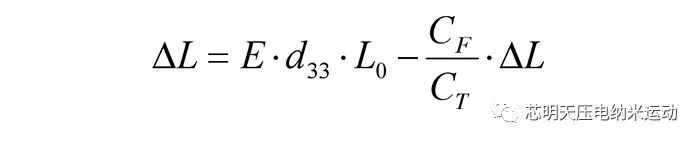
在无预载力大刚度负载条件下
图1.3 无预载力大刚度负载条件下位移与电压曲线
有预载力低刚度条件下
图1.4 有预载力低刚度负载条件下位移和电压曲线
变化的外部负载和力,F=f(ΔL)
(1.3)
(1.4)
(1.5)
∆L0-没有外部负载的位移;ΔL-有外部负载的位移。
例:一个压电致动器。在没有外部负载时的位移为ΔL0,刚度为CT=65N/μm。外部弹簧的CF=64N/μm。在这种情况下致动器的有效力为431N。当它外部的弹簧刚度50N/μm,有效力为F=379N。
出力,ΔL=0

(1.6)


